6-6017

APPENDIX J—Annual Percentage Rate Computations for Closed-End Credit Transactions

(a) Introduction.
(1) Section 1026.22(a) of Regulation Z provides that the annual percentage rate for other than open-end credit transactions shall be determined in accordance with either the actuarial method or the United States Rule method. This appendix contains an explanation of the actuarial method as well as equations, instructions and examples of how this method applies to single advance and multiple advance transactions.
(2) Under the actuarial method, at the end of each unit period (or fractional unit period) the unpaid balance of the amount financed is increased by the finance charge earned during that period and is decreased by the total payment (if any) made at the end of that period. The determination of unit periods and fractional unit periods shall be consistent with the definitions and rules in paragraphs (b)(3), (4) and (5) of this section and the general equation in paragraph (b)(8) of this section.
(3) In contrast, under the United States Rule method, at the end of each payment period, the unpaid balance of the amount financed is increased by the finance charge earned during that payment period and is decreased by the payment made at the end of that payment period. If the payment is less than the finance charge earned, the adjustment of the unpaid balance of the amount financed is postponed until the end of the next payment period. If at that time the sum of the two payments is still less than the total earned finance charge for the two payment periods, the adjustment of the unpaid balance of the amount financed is postponed still another payment period, and so forth.
6-6018
(b) Instructions and equations for the actuarial method.
(1) General rule. The annual percentage rate shall be the nominal annual percentage rate determined by multiplying the unit-period rate by the number of unit periods in a year.
(2) Term of the transaction. The term of the transaction begins on the date of its consummation, except that if the finance charge or any portion of it is earned beginning on a later date, the term begins on the later date. The term ends on the date the last payment is due, except that if an advance is scheduled after that date, the term ends on the later date. For computation purposes, the length of the term shall be equal to the time interval between any point in time on the beginning date to the same point in time on the ending date.
(3) Definitions of time intervals.
(i) A period is the interval of time between advances or between payments and includes the interval of time between the date the finance charge begins to be earned and the date of the first advance thereafter or the date of the first payment thereafter, as applicable.
(ii) A common period is any period that occurs more than once in a transaction.
(iii) A standard interval of time is a day, week, semimonth, month, or a multiple of a week or a month up to, but not exceeding, one year.
(iv) All months shall be considered equal. Full months shall be measured from any point in time on a given date of a given month to the same point in time on the same date of another month. If a series of payments (or advances) is scheduled for the last day of each month, months shall be measured from the last day of the given month to the last day of another month. If payments (or advances) are scheduled for the 29th or 30th of each month, the last day of February shall be used when applicable.
(4) Unit period.
(i) In all transactions other than a single advance, single payment transaction, the unit period shall be that common period, not to exceed 1 year, that occurs most frequently in the transaction, except that
(A) If two or more common periods occur with equal frequency, the smaller of such common periods shall be the unit period; or
(B) If there is no common period in the transaction, the unit period shall be that period which is the average of all periods rounded to the nearest whole standard interval of time. If the average is equally near two standard intervals of time, the lower shall be the unit period.
(ii) In a single advance, single payment transaction, the unit period shall be the term of the transaction, but shall not exceed one year.
(5) Number of unit periods between two given dates.
(i) The number of days between two dates shall be the number of 24-hour intervals between any point in time on the first date to the same point in time on the second date.
(ii) If the unit period is a month, the number of full unit periods between two dates shall be the number of months measured back from the later date. The remaining fraction of a unit period shall be the number of days measured forward from the earlier date to the beginning of the first full unit period, divided by 30. If the unit period is a month, there are 12 unit periods per year.
(iii) If the unit period is a semimonth or a multiple of a month not exceeding 11 months, the number of days between two dates shall be 30 times the number of full months measured back from the later date, plus the number of remaining days. The number of full unit periods and the remaining fraction of a unit period shall be determined by dividing such number of days by 15 in the case of a semimonthly unit period or by the appropriate multiple of 30 in the case of a multimonthly unit period. If the unit period is a semimonth, the number of unit periods per year shall be 24. If the number of unit periods is a multiple of a month, the number of unit periods per year shall be 12 divided by the number of months per unit period.
(iv) If the unit period is a day, a week, or a multiple of a week, the number of full unit periods and the remaining fractions of a unit period shall be determined by dividing the number of days between the two given dates by the number of days per unit period. If the unit period is a day, the number of unit periods per year shall be 365. If the unit period is a week or a multiple of a week, the number of unit periods per year shall be 52 divided by the number of weeks per unit period.
(v) If the unit period is a year, the number of full unit periods between two dates shall be the number of full years (each equal to 12 months) measured back from the later date. The remaining fraction of a unit period shall be
(A) The remaining number of months divided by 12 if the remaining interval is equal to a whole number of months, or
(B) The remaining number of days divided by 365 if the remaining interval is not equal to a whole number of months.
(vi) In a single advance, single payment transaction in which the term is less than a year and is equal to a whole number of months, the number of unit periods in the term shall be one, and the number of unit periods per year shall be 12 divided by the number of months in the term or 365 divided by the number of days in the term.
(vii) In a single advance, single payment transaction in which the term is less than a year and is not equal to a whole number of months, the number of unit periods in the term shall be one, and the number of unit periods per year shall be 365 divided by the number of days in the term.
(6) Percentage rate for a fraction of a unit period. The percentage rate of finance charge for a fraction (less than one) of a unit period shall be equal to such fraction multiplied by the percentage rate of finance charge per unit period.
(7) Symbols. The symbols used to express the terms of a transaction in the equation set forth in paragraph (b)(8) of this section are defined as follows:
Table 1. Symbols
Ak = The amount of the kth advance.
qk = The number of full unit periods from the beginning of the term of the transaction to the kth advance.
ek = The fraction of a unit period in the time interval from the beginning of the term of the transaction to the kth advance.
m = The number of advances.
Pj = The amount of the jth payment.
tj = The number of full unit periods from the beginning of the term of the transaction to the jth payment.
fj = The fraction of a unit period in the time interval from the beginning of the term of the transaction to the jth payment.
n = The number of payments.
i = The percentage rate of finance charge per unit period, expressed as a decimal equivalent.
Symbols used in the examples shown in this appendix are defined as follows:
Table 2. Symbols used in the examples
  <mb;-6q>..<mb;0q><mh;-4.5q>a|m-<mb;4q><mh;-5.5q>x<mb;2q><tmpsz;6q>1<reset>
$$ \require{enclose} \mathrm{\ddot{a}_{\enclose{actuarial}{x}}} $$
= The present value of 1 per unit period for x unit periods, first payment due immediately.

Figure 1. DISPLAY EQUATION DISPLAY EQUATION

$$\mathrm{=1 + \frac{1}{(1 + i)}} + \frac{1}{(1 + \mathrm{i})^2}+ \\ \qquad\qquad\qquad\qquad\qquad\qquad\qquad....+ \frac{1}{(1 + \mathrm{i})^{\mathrm{x}-1}} $$

Table 3. Symbols used in the examples
w = The number of unit periods per year.
I = wi × 100 = The nominal annual percentage rate.
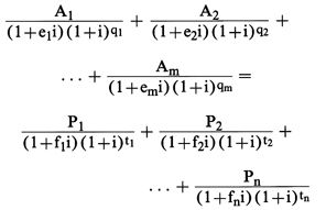
(8) General equation. The following equation sets forth the relationship among the terms of a transaction:

Figure 2. DISPLAY EQUATION DISPLAY EQUATION

$$ \mathrm{\frac{A_1}{(1+e_1i)(1+i)^{q_1}} + \frac{A_2}{(1+e_2i)(1+i)^{q_2}} +} \\ \qquad\qquad...+ \mathrm{\frac{A_m}{(1+e_mi)(1+i)^{q_m}}} = \\ \qquad \mathrm{\frac{P_1}{(1+f_1i)(1+i)^{t_1}} + \frac{P_2}{(1+f_2i)(1+i)^{t_2}} +} \\ \qquad\qquad\qquad\qquad\qquad...+ \mathrm{\frac{P_n}{(1+f_ni)(1+i)^{t_n}}} $$
(9) Solution of general equation by iteration process.
(i) The general equation in paragraph (b)(8) of this section, when applied to a simple transaction in which a loan of $1000 is repaid by 36 monthly payments of $33.61 each, takes the special form:

Figure 3. DISPLAY EQUATION DISPLAY EQUATION

$$ \require{enclose} \mathrm{A = \frac{33.61\ddot{a}_{\enclose{actuarial}{36}}}{(1+i)}} $$

Step 1:
  • Let I1 = estimated annual percentage rate = %12.50%
  • Evaluate expression for A, letting i = I1 /(100w) = %.010416667
  • Results (referred to as A‘) = %1004.674391
Step 2:
  • Let I2 = I1 +.1 =%12.60%
  • Evaluate expression for A, letting i = I2 /(100w) = %.010500000
  • Result (referred to as A“) = %1003.235366
Step 3:
  • Interpolate for I (annual percentage rate): 

Figure 4. DISPLAY EQUATION DISPLAY EQUATION

$$ \mathrm{I = I_1 + .1} \begin{bmatrix} \mathrm{(A-A^{\prime})} \\[0.3em] \hline \mathrm{(A^{\prime\prime}-A^{\prime})} \\[0.3em] \end{bmatrix} = 12.50 + \\ .1 \begin{bmatrix} (1000.000000 - 1004.674391) \\[0.3em] \hline (1003.235366 - 1004.674391) \\[0.3em] \end{bmatrix} \\ \qquad\qquad\qquad\qquad = 12.82483042\% $$
Step 4:
  • First iteration, let I= 12.82483042% and repeat Steps 1, 2, and 3 obtaining a new I = 12.82557859%
  • Second iteration, let I= 12.82557859% and repeat Steps 1, 2, and 3 obtaining a new I = 12.82557529%
In this case, no further iterations are required to obtain the annual percentage rate correct to two decimal places, 12.83%.
(ii) When the iteration approach is used, it is expected that calculators or computers will be programmed to carry all available decimals throughout the calculation and that enough iterations will be performed to make virtually certain that the annual percentage rate obtained, when rounded to two decimals, is correct. Annual percentage rates in the examples below were obtained by using a 10-digit programmable calculator and the iteration procedure described above.
6-6019
(c) Examples for the actuarial method.
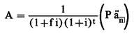
(1) Single-advance transaction, with or without an odd first period, and otherwise regular. The general equation in paragraph (b)(8) of this section can be put in the following special form for this type of transaction: 

Figure 5. DISPLAY EQUATION DISPLAY EQUATION

$$ \require{enclose} \mathrm{A = \frac{1}{(1+fi)(1+i)^t}} \bigg( \mathrm{P\mathrm{\ddot{a}_{\enclose{actuarial}{n}}}} \bigg) $$
Example (i): Monthly payments (regular first period)
Amount advanced (A) = $5000. Payment (P) = $230.
Number of payments (n) = 24.
Unit period = 1 month. Unit periods per year (w) = 12.
Advance, 1-10-78. First payment, 2-10-78.
From 1-10-78 through 2-10-78 = 1 unit period. (t = 1; f = 0)
Annual percentage rate (I) = wi = .0969 = 9.69%
Example (ii): Monthly payments (long first period)
Amount advanced (A) = $6000. Payment (P) = $200.
Number of payments (n) = 36.
Unit period = 1 month. Unit periods per year (w) = 12.
Advance, 2-10-78. First payment, 4-1-78.
From 3-1-78 through 4-1-78 = 1 unit period. (t = 1)
From 2-10-78 through 3-1-78 = 19 days. (f = 19/30)
Annual percentage rate
(I) = wi = .1182 = 11.82%
Example (iii): Semimonthly payments (short first period)
Amount advanced (A) = $5000. Payment (P) = $219.17.
Number of payments (n) = 24.
Unit period =½ month. Unit periods per year (w) = 24.
Advance, 2-23-78. First payment, 3-1-78. Payments made on 1st and 16th of each month.
From 2-23-78 through 3-1-78 = 6 days. (t = 0; f = 6/15)
Annual percentage rate
(I) = wi = .1034 = 10.34%
Example (iv): Quarterly payments (long first period)
Amount advanced (A) = $10,000. Payment (P) = $385.
Number of payments (n) = 40.
Unit period = 3 months. Unit periods per year (w) = 4.
Advance, 5-23-78. First payment, 10-1-78.
From 7-1-78 through 10-1-78 = 1 unit period. (t = 1)
From 6-1-78 through 7-1-78 = 1 month = 30 days. From 5-23-78 through 6-1-78 = 9 days. (f = 39/90)
Annual percentage rate
(I) = wi = .0897 = 8.97%
Example (v): Weekly payments (long first period)
Amount advanced (A) = $500. Payment (P) = $17.60.
Number of payments (n) = 30.
Unit period = 1 week. Unit periods per year (w) = 52.
Advance, 3-20-78. First payment, 4-21-78.
From 3-24-78 through 4-21-78 = 4 unit periods. (t = 4)
From 3-20-78 through 3-24-78 = 4 days. (f = 4/7)
Annual percentage rate
(I) = wi = .1496 = 14.96%
(2) Single-advance transaction, with an odd first payment, with or without an odd first period, and otherwise regular. The general equation in paragraph (b)(8) of this section can be put in the following special form for this type of transaction:

Figure 6. DISPLAY EQUATION DISPLAY EQUATION

$$ \require{enclose} \mathrm{A} = \frac{1}{(1+\mathrm{fi})(1+\mathrm{i})^\mathrm{t}} \Bigg[ \mathrm{P}_1 + \frac{\mathrm{P}\ddot{\mathrm{a}}_\enclose{actuarial}{\mathrm{n}-1}}{(1+\mathrm{i})} \Bigg] $$

Example (i): Monthly payments (regular first period and irregular first payment)
Amount advanced (A) $5000. First payment (P1) = $250.
Regular payment (P) = $230. Number of payments (n) = 24.
Unit period = 1 month. Unit periods per year (w) = 12.
Advance, 1-10-78. First payment, 2-10-78.
From 1-10-78 through 2-10-78 = 1 unit period. (t = 1; f = 0)
Annual percentage rate
(I) = wi = .1008 = 10.08%
Example (ii): Payments every four weeks (long first period and irregular first payment)
Amount advanced (A) = $400. First payment (P1) = $39.50.
Regular payment (P) = $38.31. Number of payments (n) = 12.
Unit period = 4 weeks. Unit periods per year (w) = 52/4 = 13.
Advance, 3-18-78. First payment, 4-20-78.
From 3-23-78 through 4-20-78 = 1 unit period. (t = 1)
From 3-18-78 through 3-23-78 = 5 days. (f = 5/28)
Annual percentage rate
(I) = wi = .2850 = 28.50%.
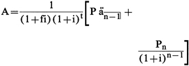
(3) Single-advance transaction, with an odd final payment, with or without an odd first period, and otherwise regular. The general equation in paragraph (b)(8) of this section can be put in the following special form for this type of transaction:

Figure 7. DISPLAY EQUATION DISPLAY EQUATION

$$ \require{enclose} \begin{align*} \mathrm{A} = \frac{1}{(1+\mathrm{fi})(1+\mathrm{i})^\mathrm{t}} \Bigg[ \mathrm{P}\ddot{\mathrm{a}}_\enclose{actuarial}{\mathrm{n}-1} +&\\ &\frac{\mathrm{P}_\mathrm{n}}{(1+\mathrm{i})^{\mathrm{n}-1}} \Bigg] \end{align*} $$
Example (i): Monthly payments (regular first period and irregular final payment)
Amount advanced (A) = $5000. Regular payment (P) = $230.
Final payment (Pn) = $280. Number of payments (n) = 24.
Unit period = 1 month. Unit periods per year (w) = 12.
Advance, 1-10-78. First payment, 2-10-78.
From 1-10-78 through 2-10-78 = 1 unit period. (t = 1; f = 0)
Annual percentage rate
(I) = wi = .1050 = 10.50%
Example (ii): Payments every two weeks (short first period and irregular final payment)
Amount advanced (A) = $200. Regular payment (P) = $9.50.
Final payment (Pn) = $30. Number of payments (n) = 20.
Unit period = 2 weeks. Unit periods per year (w) = 52/2 = 26.
Advance, 4-3-78. First payment, 4-11-78.
From 4-3-78 through 4-11-78 = 8 days.
(t = 0; f = 8/14)
Annual percentage rate
(I) = wi = .1222 = 12.22%
(4) Single-advance transaction, with an odd first payment, odd final payment, with or without an odd first period, and otherwise regular. The general equation in paragraph (b)(8) of this section can be put in the following special form for this type of transaction:

Figure 8. DISPLAY EQUATION DISPLAY EQUATION

$$ \require{enclose} \begin{align*} \mathrm{A = \frac{1}{(1+fi)(1+i)^t}} \Bigg[ \mathrm{P_1} + &\mathrm{\frac{P\ddot{a}_\enclose{actuarial}{n-2}}{(1+i)}} +\\ &\mathrm{\frac{P_n}{(1+i)^{n-1}}} \Bigg] \end{align*} $$

Example (i): Monthly payments (regular first period, irregular first payment, and irregular final payment)
Amount advanced (A) = $5000. First payment (P1) = $250.
Regular payment (P) = $230. Final payment (Pn) = $280.
Number of payments (n) = 24. Unit period = 1 month.
Unit periods per year (w) = 12.
Advance, 1-10-78. First payment, 2-10-78.
From 1-10-78 through 2-10-78 = 1 unit period. (t = 1; f = 0)
Annual percentage rate
(I) = wi = .1090 = 10.90%
Example (ii): Payments every two months (short first period, irregular first payment, and irregular final payment)
Amount advanced (A) = $8000. First payment (P1) = $449.36.
Regular payment (P) = $465. Final payment (Pn) = $200.
Number of payments (n) = 20. Unit period = 2 months.
Unit periods per year (w) = 12/2 = 6.
Advance, 1-10-78. First payment, 3-1-78.
From 2-1-78 through 3-1-78 = 1 month. From 1-10-78 through 2-1-78 = 22 days. (t = 0; f = 52/60)
Annual percentage rate
(I) = wi = .0730 = 7.30%
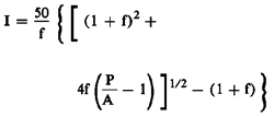
(5) Single-advance, single-payment transaction. The general equation in paragraph (b)(8) of this section can be put in the special forms below for single advance, single payment transactions. Forms 1 through 3 are for the direct determination of the annual percentage rate under special conditions. Form 4 requires the use of the iteration procedure of paragraph (b)(9) of this section and can be used for all single-advance, single-payment transactions regardless of term.
Form 1—Term less than one year:

Figure 9. DISPLAY EQUATION DISPLAY EQUATION

$$ \mathrm{I} = 100\mathrm{w} \Bigg( \mathrm{\frac{P}{A}} -1 \Bigg) $$

Form 2—Term more than one year but less than two years:

Figure 10. DISPLAY EQUATION DISPLAY EQUATION

$$ \begin{align*} \mathrm{I = \frac{50}{f}} \Bigg\{\Bigg[ & \mathrm{(1+f)^2} + \\[8pt] & \mathrm{4f} \Bigg( \mathrm{\frac{P}{A} -1} \Bigg) \Bigg]^{1/2} - (1 + \mathrm{f}) \Bigg\} \end{align*} $$
Form 3—Term equal to exactly a year or exact multiple of a year:

Figure 11. DISPLAY EQUATION DISPLAY EQUATION

$$ \mathrm{I = 100} \Bigg[ \Bigg(\mathrm{\frac{P}{A} \Bigg)^{1/\mathrm{t}} -1} \Bigg] $$
Form 4—Special form for iteration procedure (no restriction on term):

Figure 12. DISPLAY EQUATION DISPLAY EQUATION

$$ \mathrm{A = \frac{P}{(1+fi)(1+i)^t}} $$
Example (i): Single-advance, single-payment (term of less than one year, measured in days)
Amount advanced (A) = $1000. Payment (P) = $1080.
Unit period = 255 days. Unit periods per year (w) = 365/255.
Advance, 1-3-78. Payment, 9-15-78.
From 1-3-78 through 9-15-78 = 255 days. (t = 1; f = 0)
Annual percentage rate
(I) = wi = .1145 = 11.45%. (Use form 1 or 4.)
Example (ii): Single-advance, single-payment (term of less than one year, measured in exact calendar months)
Amount advanced (A) = $1000. Payment (P) = $1044.
Unit period = 6 months. Unit periods per year (w) = 2.
Advance, 7-15-78. Payment, 1-15-79.
From 7-15-78 through 1-15-79 = 6 mos. (t = 1; f = 0)
Annual percentage rate
(I) = wi = .0880 = 8.80%. (Use form 1 or 4.)
Example (iii): Single-advance, single-payment (term of more than one year but less than two years, fraction measured in exact months)
Amount advanced (A) = $1000. Payment (P) = $1135.19.
Unit period = 1 year. Unit periods per year (w) = 1.
Advance, 7-17-78. Payment, 1-17-80.
From 1-17-79 through 1-17-80 = 1 unit period. (t = 1)
From 7-17-78 through 1-17-79 = 6 mos. (f = 6/12)
Annual percentage rate
(I) = wi = .0876 = 8.76%. (Use form 2 or 4.)
Example (iv): Single-advance, single-payment (term of exactly two years)
Amount advanced (A) = $1000. Payment (P) = $1240.
Unit period = 1 year. Unit periods per year (w) = 1.
Advance, 1-3-78. Payment, 1-3-80.
From 1-3-78 through 1-3-79 = 1 unit period. (t = 2; f = 0)
Annual percentage rate
(I) = wi = .1136 = 11.36%. (Use form 3 or 4.)
(6) Complex single-advance transaction.
Example (i): Skipped-payment loan (payments every four weeks)
A loan of $2135 is advanced on 1-25-78. It is to be repaid by 24 payments of $100 each. Payments are due every four weeks beginning 2-20-78. However, in those months in which two payments would be due, only the first of the two payments is made and the following payment is delayed by two weeks to place it in the next month.
Unit period = 4 weeks. Unit periods per year (w) = 52/4 = 13.
First series of payments begins 26 days after 1-25-78. (t1 = 0; f1 = 26/28)
Second series of payments begins nine unit periods plus two weeks after start of first series. (t2 = 10; f2 = 12/28)
Third series of payments begins six unit periods plus two weeks after start of second series. (t3 = 16; f3 = 26/28)
Last series of payments begins six unit periods plus two weeks after start of third series. (t4 = 23; f4 = 12/28)
The general equation in paragraph (b)(8) of this section can be written in the special form:

Figure 13. DISPLAY EQUATION DISPLAY EQUATION

$$ \require{enclose} \begin{align*} 2135 = & \mathrm{\frac{100\ddot{a}_\enclose{actuarial}{9}}{(1+(26/28)i)} +} \\[8pt] & \mathrm{\frac{100\ddot{a}_\enclose{actuarial}{6}}{(1+(12/28)i)(1+i)^{10}} + } \\[8pt] & \mathrm{\frac{100\ddot{a}_\enclose{actuarial}{6}}{(1+(26/28)i)(1+i)^{16}} +} \\[8pt] & \qquad\qquad \mathrm{\frac{100\ddot{a}_\enclose{actuarial}{3}}{(1+(12/28)i)(1+i)^{23}} } \\ \end{align*} $$

Annual percentage rate
(I) = wi = .1200 = 12.00%
Example (ii): Skipped-payment loan plus single payments
A loan of $7350 on 3-3-78 is to be repaid by three monthly payments of $1000 each beginning 9-15-78, plus a single payment of $2000 on 3-15-79, plus three more monthly payments of $750 each beginning 9-15-79, plus a final payment of $1000 on 2-1-80.
Unit period = 1 month. Unit periods per year (w) = 12.
First series of payments begins six unit periods plus 12 days after 3-3-78. (t1 = 6; f1 = 12/30)
Second series of payments (single payment) occurs 12 unit periods plus 12 days after 3-3-78. (t2 = 12; f2 = 12/30)
Third series of payments begins 18 unit periods plus 12 days after 3-3-78. (t3 = 18; f3 = 12/30)
Final payment occurs 22 unit periods plus 29 days after 3-3-78. (t4 = 22; f4 = 29/30)
The general equation in paragraph (b)(8) of this section can be written in the special form:

Figure 14. DISPLAY EQUATION DISPLAY EQUATION

$$ \require{enclose} \begin{align*} 7350 = & \mathrm{\frac{1000\ddot{a}_\enclose{actuarial}{3}}{(1+(12/30)i)(1+i)^6} +} \\[8pt] & \mathrm{\frac{2000}{(1+(12/30)i)(1+i)^{12}} + } \\[8pt] & \mathrm{\frac{750\ddot{a}_\enclose{actuarial}{3}}{(1+(12/30)i)(1+i)^{18}} +} \\[8pt] & \qquad\qquad \mathrm{\frac{1000}{(1+(29/30)i)(1+i)^{22}} } \\ \end{align*} $$
Annual percentage rate
(I) = wi = .1022 = 10.22%
Example (iii): Mortgage with varying payments
A loan of $39,688.56 (net) on 4-10-78 is to be repaid by 360 monthly payments beginning 6-1-78. Payments are the same for 12 months at a time as follows:
Table 4. Mortgage with varying payments
Year Monthly payment Year Monthly payment
  1 $291.81  16 $383.67
  2  300.18  17  383.13
  3  308.78  18  382.54
  4  317.61  19  381.90
  5  326.65  20  381.20
  6  335.92  21  380.43
  7  345.42  22  379.60
  8  355.15  23  378.68
  9  365.12  24  377.69
 10  375.33  25  376.60
 11  385.76  26  375.42
 12  385.42  27  374.13
 13  385.03  28  372.72
 14  384.62  29  371.18
 15  384.17  30  369.50
Unit period = 1 month. Unit periods per year (w) = 12.
From 5-1-78 through 6-1-78 = 1 unit period. (t = 1)
From 4-10-78 through 5-1-78 = 21 days. (f = 21/30)
The general equation in paragraph (b)(8) of this section can be written in the special form:

Figure 15. DISPLAY EQUATION DISPLAY EQUATION

$$ \require{enclose} \begin{align*} 39&,688.56 = \mathrm{\frac{\ddot{a}_\enclose{actuarial}{12}}{(1+(21/30)i)(1+i)} } \\[8pt] & \Bigg[291.81 + \frac{300.18}{(1+\mathrm{i})^{12}} + \frac{308.78}{(1+\mathrm{i})^{24}} + \\[8pt] & \qquad\qquad\qquad\qquad... + \frac{369.50}{(1+\mathrm{i})^{348}} \Bigg] \end{align*} $$

Annual percentage rate
(I) = wi = .0980 = 9.80%
(7) Multiple-advance transactions.
Example (i): Construction loan
Three advances of $20,000 each are made on 4-10-79, 6-12-79, and 9-18-79. Repayment is by 240 monthly payments of $612.36 each beginning 12-10-79.
Unit period = 1 month. Unit periods per year (w) = 12.
From 4-10-79 through 6-12-79 = (2+2/30) unit periods.
From 4-10-79 through 9-18-79 = (5+8/30) unit periods.
From 4-10-79 through 12-10-79 = (8) unit periods.
The general equation in paragraph (b)(8) of this section is changed to the single-advance mode by treating the second and third advances as negative payments:

Figure 16. DISPLAY EQUATION DISPLAY EQUATION

$$ \require{enclose} \begin{align*} 20,0000 &= \mathrm{\frac{612.36\ddot{a}_{\enclose{actuarial}{240}}}{(1+i)^8} } -\\[8pt] & \frac{20,000}{(1+(2/30)\mathrm{i})(1+\mathrm{i})^2} - \\[8pt] & \qquad\qquad \frac{20,000}{(1+(8/30)\mathrm{i}(1+\mathrm{i})^5} \end{align*} $$

Annual percentage rate
(I) = wi = .1025 = 10.25%
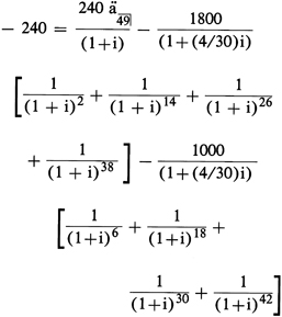
Example (ii): Student loan
A student loan consists of eight advances: $1800 on 9-5-78, 9-5-79, 9-5-80, and 9-5-81; plus $1000 on 1-5-79, 1-5-80, 1-5-81, and 1-5-82. The borrower is to make 50 monthly payments of $240 each beginning 7-1-78 (prior to first advance).
Unit period = 1 month. Unit periods per year (w) = 12.
Zero point is date of first payment since it precedes first advance.
From 7-1-78 to 9-5-78 = (2+4/30) unit periods.
From 7-1-78 to 9-5-79 = (14+4/30) unit periods.
From 7-1-78 to 9-5-80 = (26+4/30) unit periods.
From 7-1-78 to 9-5-81 = (38+4/30) unit periods.
From 7-1-78 to 1-5-79 = (6+4/30) unit periods.
From 7-1-78 to 1-5-80 = (18+4/30) unit periods.
From 7-1-78 to 1-5-81 = (30+4/30) unit periods.
From 7-1-78 to 1-5-82 = (42+4/30) unit periods.
Since the zero point is date of first payment, the general equation in paragraph (b)(8) of this section is written in the single-advance form below by treating the first payment as a negative advance and the eight advances as negative payments:

Figure 17. DISPLAY EQUATION DISPLAY EQUATION

$$ \require{enclose} \begin{align*} -&240 = \mathrm{\frac{240\ddot{a}_\enclose{actuarial}{49}}{(1+i)}} - \mathrm{\frac{1800}{(1+ (4/30)i}} \\[8pt] & \Bigg[ \mathrm{\frac{1}{(1+i)^2}} + \mathrm{\frac{1}{(1+i)^{14}}} + \mathrm{\frac{1}{(1+i)^{26}}} \\[8pt] & \qquad + \mathrm{\frac{1}{(1+i)^{38}}} \Bigg] - \mathrm{\frac{1000}{(1+(4/30)i)}} \\[8pt] & \qquad\qquad \Bigg[ \mathrm{\frac{1}{(1+i)^6}} + \mathrm{\frac{1}{(1+i)^{18}}} + \\[8pt] & \qquad\qquad\qquad \mathrm{\frac{1}{(1+i)^{30}}} + \mathrm{\frac{1}{(1+i)^{42}}} \Bigg] \end{align*} $$
Annual percentage rate
(I) = wi = .3204 = 32.04%